i
| x | y |
|---|---|
| −1 | |
| 0 | |
| 1 |
Задано функцію
1. Для наведених у таблиці значень аргументів х визначте відповідні їм значення у (див. таблицю).
2. Визначте та запишіть координати точок перетину графіка
з віссю x .
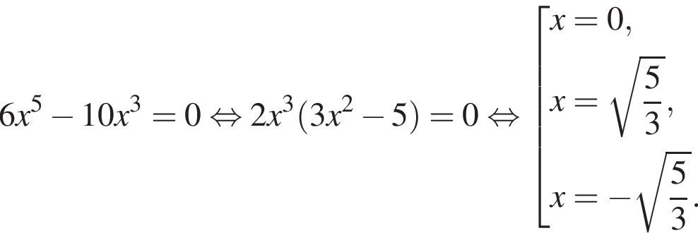
3. Знайдіть похідну f' функції
4. Визначте нулі функції f' .
5. Визначте проміжки зростання та спадання, точки екстремуму функції f .
6. Побудуйте ескіз графіка функції f .














и на
убывает на отрезке
Экстремумы:
